GABA BRAIN FOOD™

£35.99

GABA Brain Food™ is designed to support the normal, healthy production of GABA, a neurotransmitter essential to mental calmness.

The natural compounds in GABA Brain Food™ may help you reduce temporary feelings of stress, as well as promote relaxation and improve sleep quality.

Out of stock

Email when stock available

30 money back guarantee 30 money back guarantee
1-3 day UK delivery 1-3 day UK delivery
Over 45,000 happy customers Over 45,000 happy customers

Description

01/ GABA FOR CALM AND RELAXATION

GABA Brain Food™ is designed to support the normal, healthy production of GABA, a neurotransmitter essential to mental calmness.

Research suggests that the natural compounds in GABA Brain Food™ may help reduce temporary feelings of stress, as well as promote relaxation and improve sleep.

  • Promotes feelings of calmness†
  • Supports relaxation†
  • Supports clear thoughts and calms one’s mind†
  • Supports restful, restorative sleep†

This natural formula contains the necessary precursors and cofactors for optimal GABA availability.

GABA is a neurotransmitter which acts like a “brake” to keep excitation in check. Too much excitation can lead to irritability, restlessness, and sleep disruption to name a few. GABA’s role as the main inhibitory neurotransmitter helps provide this function in the human body.

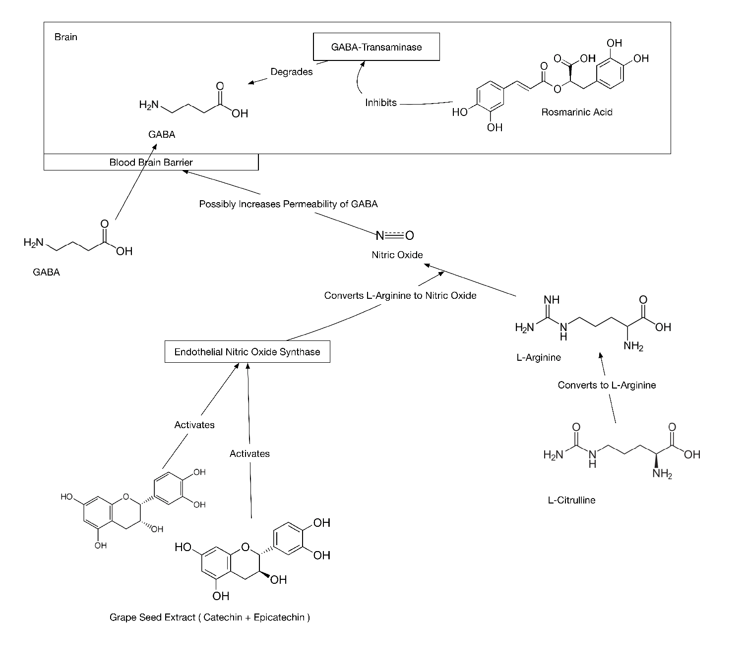
GABA is what is known as a self-inhibiting compound. This means, when you take more GABA than your body needs, it blocks its own transport into the brain to maintain constant, normal GABA concentrations. To circumvent this mechanistic limitation, we included the ingredients L-Citrulline, Rosmarinic Acid, and Grape Seed Extract. These natural ingredients work synergistically to both increase GABA’s transport into the brain and work to sustain elevated concentrations of GABA.

Click here to view a diagram of how GABA Brain Food’s ingredients influences natural GABA metabolism.

The main challenge in increasing brain levels of GABA via supplementation is circumventing the molecule’s inherent self-inhibiting characteristic. It is suggested that increasing GABA’s permeability across the blood-brain barrier is an effective target to increase brain levels of GABA. One way to do this is to increase vasodilation by upregulating nitric oxide (NO) production in the body.

L-citrulline is a precursor to the amino acid, L-Arginine, which has a potent effect on stimulating NO production. Additionally, grape seed extract has been shown to increase the production of Endothelial Nitric Oxide Synthase (eNOS), an enzyme used to generate NO from L-Arginine.

Once GABA is made more permeable and able to freely cross the blood-brain barrier with increased NO production, it is naturally broken down by the enzyme GABA-Transaminase (GABA-T). To attenuate the degradation of GABA by GABA-T we incorporated rosmarinic acid into our formulation, which has an inhibitory effect on GABA-T, thus allowing for sustained, elevated levels of GABA in the brain for a longer period of time.

GABA

Gamma-Aminobutyric Acid is a naturally occurring neurotransmitter with central nervous system (CNS) inhibitory activity. Gamma-aminobutyric acid (GABA), converted from the principal excitatory neurotransmitter glutamate in the brain, plays a role in regulating neuronal excitability by binding to its receptors, GABA-A and GABA-B, and thereby causing ion channel opening, hyperpolarization and eventually inhibition of neurotransmission. [1]

GABA acts to slow down signals between neurons, making neurons less electrically excitable. [2]

Studies also show that It plays a role in neuronal stem cell differentiation, possibly giving it an important role in adult brain plasticity. [3]

L-CITRULLINE

Recently, research showed that with an increase in nitric oxide, GABA could more easily cross the blood brain barrier. Nitric oxide also causes GABA release in the hippocampus [4]. In a recent study, GABA supplementation by itself increased brain GABA 33%, but when combined with L-arginine, a stimulator of nitric oxide, brain GABA rose 383.3%. [5]

We chose to use L-Citrulline as the NO-booster in GABA Brain Food because it has been shown to be a more effective NO booster than L-Arginine [6,7,8,9]

ROSMARINIC ACID

Rosmarinic acid, present in rosemary, lemon balm, and other herbal agents known for their calming properties, inhibits GABA-transaminase, which slows the breakdown of GABA [10]

GRAPE SEED EXTRACT

Grape Seed Extract can also upregulate the eNOS enzyme for a further boost to nitric oxide [11]

The National Center for Complementary and Integrative Health (NCCIH) is currently supporting research and studies on other potential abilities of grape seed extract to support healthy cellular function. [12]

Delivery

  • UK based orders deliver 1-3 days after dispatch
  • Orders for outside of the UK deliver 5-7 days after dispatch